Étude d’émission de courants harmoniques selon C.25-01

Étude harmonique

Garantir la conformité de vos installations électriques avec Hydro-Québec

Lorsqu’une entreprise industrielle ou commerciale ajoute de nouvelles charges électriques – comme des variateurs de vitesse, des chargeurs de véhicules électriques ou équipements électroniques de puissance – Hydro-Québec peut exiger la réalisation d’une étude d’émission de courants harmoniques. Cette exigence, définie dans la norme C.25-01, vise à assurer que les installations raccordées au réseau de distribution ne provoquent pas de perturbations nuisibles pour Hydro-Québec et ses autres clients. La norme C.25-01 d’Hydro-Québec définit les exigences techniques relatives à l’émission d’harmoniques par les installations de clients raccordées au réseau de distribution.

Chez 3E Ing., nous sommes spécialisés dans la réalisation de ces études. Notre objectif : vous permettre de respecter les critères techniques d’Hydro-Québec, tout en assurant la fiabilité et la sécurité de vos opérations.

Pourquoi une étude harmonique est-elle nécessaire?

Les courants harmoniques sont générés par les charges dites « déformantes » : variateurs de vitesse, démarreurs électroniques, bancs de condensateurs, systèmes à électronique de puissance, etc. Ces phénomènes peuvent entraîner :

  • une détérioration de la qualité de l’onde électrique;
  • des surchauffes de transformateurs et câbles;
  • un vieillissement prématuré des protections et moteurs;
  • des risques de non-conformité avec la norme C.25-01 d’Hydro-Québec.

Sans étude appropriée, vos projets de raccordement peuvent être retardés ou refusés par Hydro-Québec.

Notre méthodologie

Nous suivons une approche rigoureuse, adaptée à chaque site :

  • Collecte des données : inventaire des charges perturbatrices, schémas unifilaires, caractéristiques des équipements et données du réseau fournies par Hydro-Québec.
  • Mesures sur site : installation d’analyseurs de qualité de l’onde (analyseur Hioki PQ3198) pour enregistrer les courants et tensions pendant plusieurs jours.
  • Modélisation et simulations : utilisation de logiciels spécialisés (EasyPower, EMTP) pour calculer les émissions d’harmoniques selon les scénarios de charge.
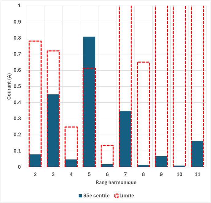
  • Comparaison avec la norme C.25-01 : validation des résultats au point commun de raccordement (PCR), conformément aux limites imposées par Hydro-Québec.
  • Rapport complet : conclusions claires et recommandations correctives (ex. filtres harmoniques, optimisation des charges, séquencement des moteurs).

Exemples de réalisations d'études harmoniques

Nous avons accompagné plusieurs clients dans les régions de Québec, de Chaudière-Appalaches, de Montérégie et du Saguenay–Lac-Saint-Jean :

  • Scierie industrielle : simulation des émissions d’harmoniques lors de l’ajout de nouvelles lignes de sciage, démontrant la conformité des courants aux limites imposées.
  • Usine de galvanisation : analyse de plusieurs scénarios de fonctionnement, confirmant que les émissions restaient sous les seuils d’Hydro-Québec.
  • Usine de produits forestiers : campagne de mesures sur site avec identification de dépassements de la 5e harmonique, suivie de recommandations pour corriger la situation.
  • Chargeur de véhicules électriques : mesures des courants harmoniques d’une borne de recharge de véhicules lourds électriques.

Les avantages de choisir 3E Ing.

  • Expertise reconnue en études harmoniques selon la norme C.25-01.
  • Rapports acceptés par Hydro-Québec, clairs et complets.
  • Solutions pratiques pour corriger les non-conformités et optimiser vos installations.
  • Accompagnement clé en main, de la collecte des données jusqu’à la validation finale.

Contactez-nous

Vous devez déposer une étude d’émission de courants harmoniques auprès d’Hydro-Québec? Faites confiance à 3E Ing. pour réaliser une analyse précise, fiable et conforme aux exigences de la norme C.25-01.

Contactez-nous dès aujourd’hui pour obtenir une soumission personnalisée.

Études harmoniques réalisées
Ces clients nous font confiance